Quantum Design Oxford - Your Source for Scientific Instrumentation
Proteox TeslatronPT Spectromag Heliox Kelvinox Integra Triton

Publications

Proteox

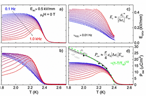
Characterization of Two Fast-Turnaround Dry Dilution Refrigerators for Scanning Probe Microscopy

Mark E. Barber, Yifan Li, Jared Gibson, Jiachen Yu, Zhanzhi Jiang, Yuwen Hu, Zhurun Ji, Nabhanila Nandi, Jesse C. Hoke, Logan Bishop-Van Horn, Gilbert R. Arias, Dale J. Van Harlingen, Kathryn A. Moler, Zhi-Xun Shen, Angela Kou, Benjamin E. Feldman

Oxford Paper

TeslatronPT

Electron tunneling at the molecularly thin 2D perovskite and graphene van der Waals interface

Kai Leng, Lin Wang, Yan Shao, Ibrahim Abdelwahab, Gustavo Grinblat, Ivan Verzhbitskiy, Runlai Li, Yongqing Cai, Xiao Chi, Wei Fu, Peng Song, Andrivo Rusydi, Goki Eda, Stefan A. Maier, Kian Ping Loh

Porous high-Tc superconductors and their applications

Michael R. Koblischka, Anjela Koblischka-Veneva

Synthesis of Superconducting InxSn1−xTe (0.04 < x < 0.1) Large Single Crystal by Liquid Transport Method

Peng Zhu, Yongkai Li, Xiaohui Yang, Ying Yang, Xin Zhang, Xiao Lin, Fan Yang, Xiang Li, Zhiwei Wang

Excess Conductivity Analysis of Polycrystalline FeSe Samples with the Addition of Ag

Michael Rudolf Koblischka, Yassine Slimani, Anjela Koblischka-Veneva, Thomas Karwoth, XianLin Zeng, Essia Hannachi, Masato Murakami

Controlled growth of ultrathin Mo2C superconducting crystals on liquid Cu surface

Dechao Geng, Xiaoxu Zhao, Linjun Li, Peng Song, Bingbing Tian, Wei Liu, Jianyi Chen, Dong Shi, Ming Lin, Wu Zhou

Conductance quantization suppression in the quantum Hall regime

José M. Caridad, Stephen R. Power, Mikkel R. Lotz, Artsem A. Shylau, Joachim D. Thomsen, Lene Gammelgaard, Timothy J. Booth, Antti-Pekka Jauho, Peter Bøggild

Tuning across the BCS-BEC crossover in the multiband superconductor Fe1+ySexTe1−x: An angle-resolved photoemission study

Shahar Rinott, K. B. Chashka, Amit Ribak, Emile D. L. Rienks, Amina Taleb-Ibrahimi, Patrick Le Fevre, François Bertran, Mohit Randeria, Amit Kanigel

Leveraging bipolar effect to enhance transverse thermoelectricity in semimetal Mg2Pb for cryogenic heat pumping

Zhiwei Chen, Xinyue Zhang, Jie Ren, Zezhu Zeng, Yue Chen, Jian He, Lidong Chen, Yanzhong Pei

Comparison of skyrmion phases between poly- and single-crystal MnSi by composite magnetoelectric method

Peipei Lu, Haifeng Du, Le Wang, Hang Li, Wenhong Wang, Youguo Shi, Xueliang Wu, Yisheng Chai

Atomically resolved probe-type scanning tunnelling microscope for use in harsh vibrational cryogen-free superconducting magnet

Wenjie Meng, Jihao Wang, Yubin Hou, Mengqiao Sui, Haibiao Zhou, Junting Wang, Gang Wu, Jing Zhang, Fangchu Chen, Xuan Luo, Yupin Sun, Junyun Li, Qingyou Lu

Spectromag

An ultrastrongly coupled single terahertz meta-atom

Shima Rajabali, Sergej Markmann, Elsa Jöchl, Mattias Beck, Christian A. Lehner, Werner Wegscheider, Jérôme Faist, Giacomo Scalari

Magneto-optical study of metamagnetic transitions in the antiferromagnetic phase of α-RuCl3

Julian Wagner, Anuja Sahasrabudhe, Rolf B. Versteeg, Lena Wysocki, Zhe Wang, Vladimir Tsurkan, Alois Loidl, Daniel I. Khomskii, Hamoon Hedayat, Paul H. M. van Loosdrecht

Lead-substituted barium hexaferrite for tunable terahertz optoelectronics

L. N. Alyabyeva, A. S. Prokhorov, D. A. Vinnik, V. B. Anzin, A. G. Ahmed, A. Mikheykin, P. Bednyakov, C. Kadlec, F. Kadlec, E. de Prado, J. Prokleška, P. Proschek, S. Kamba, A. V. Pronin, M. Dressel, V. A. Abalmasov, V. V. Dremov, S. Schmid, M. Savinov, P. Lunkenheimer, B. P. Gorshunov

Interconversion of multiferroic domains and domain walls

E. Hassanpour, M. C. Weber, Y. Zemp, L. Kuerten, A. Bortis, Y. Tokunaga, Y. Taguchi, Y. Tokura, A. Cano, Th. Lottermoser, M. Fiebig

Magnon bound states versus anyonic Majorana excitations in the Kitaev honeycomb magnet α-RuCl3

Dirk Wulferding, Youngsu Choi, Seung-Hwan Do, Chan Hyeon Lee, Peter Lemmens, Clément Faugeras, Yann Gallais, Kwang-Yong Choi

Skyrmion lattice structural transition in MnSi

Taro Nakajima, Hiroshi Oike, Akiko Kikkawa, Elliot P. Gilbert, Norman Booth, Kazuhisa Kakurai, Yasujiro Taguchi, Yoshinori Tokura, Fumitaka Kagawa, and Taka-hisa Arima

A four-coordinate cobalt(II) single-ion magnet with coercivity and a very high energy barrier

Yvonne Rechkemmer, Frauke D. Breitgoff, Margarethe van der Meer, Mihail Atanasov, Michael Hakl, Milan Orlita, Petr Neugebauer, Frank Neese, Biprajit Sarkar, Joris van Slageren

Two-photon interference at telecom wavelengths for time-bin-encoded single photons from quantum-dot spin qubits

Leo Yu, Chandra M. Natarajan, Tomoyuki Horikiri, Carsten Langrock, Jason S. Pelc, Michael G. Tanner, Eisuke Abe, Sebastian Maier, Christian Schneider, Sven Höfling, Martin Kamp, Robert H. Hadfield, Martin M. Fejer, Yoshihisa Yamamoto

Spin Exchange Interaction in Substituted Copper Phthalocyanine Crystalline Thin Films

Naveen Rawat, Zhenwen Pan, Cody J. Lamarche, Anthony Wetherby, Rory Waterman, Takahisa Tokumoto, Judy G. Cherian, Randall L. Headrick, Stephen A. McGill, Madalina I. Furis

Heliox

Crossover from Ising- to Rashba-type superconductivity in epitaxial Bi2Se3/monolayer NbSe2 heterostructures

Hemian Yi, Lun-Hui Hu, Yuanxi Wang, Run Xiao, Jiaqi Cai, Danielle Reifsnyder Hickey, Chengye Dong, Yi-Fan Zhao, Ling-Jie Zhou, Ruoxi Zhang, Anthony R. Richardella, Nasim Alem, Joshua A. Robinson, Moses H. W. Chan, Xiaodong Xu, Nitin Samarth, Chao-Xing Liu, Cui-Zu Chang

Quantum oscillations from networked topological interfaces in a Weyl semimetal

I-Lin Liu, Colin Heikes, Taner Yildirim, Chris Eckberg, Tristin Metz, Hyunsoo Kim, Sheng Ran, William D. Ratcliff, Johnpierre Paglione, Nicholas P. Butch

Spontaneous emergence of Josephson junctions in homogeneous rings of single-crystal Sr2RuO4

Yuuki Yasui, Kaveh Lahabi, Victor Fernández Becerra, Remko Fermin, Muhammad Shahbaz Anwar, Shingo Yonezawa, Takahito Terashima, Milorad V. Milošević, Jan Aarts, Yoshiteru Maeno

Evidence for polarized nanoregions from the domain dynamics in multiferroic LiCuVO4

Christoph P. Grams, Severin Kopatz, Daniel Brüning, Sebastian Biesenkamp, Petra Becker, Ladislav Bohatý, Thomas Lorenz, Joachim Hemberger

Very large tunneling magnetoresistance in layered magnetic semiconductor CrI3

Zhe Wang, Ignacio Gutiérrez-Lezama, Nicolas Ubrig, Martin Kroner, Marco Gibertini, Takashi Taniguchi, Kenji Watanabe, Ataç Imamoğlu, Enrico Giannini, Alberto F. Morpurgo

A peak in the critical current for quantum critical superconductors

Soon-Gil Jung, Soonbeom Seo, Sangyun Lee, Eric D. Bauer, Han-Oh Lee, Tuson Park

Macroscopic phase separation of superconductivity and ferromagnetism in Sr0.5Ce0.5FBiS2−x Sex revealed by μSR

A. M. Nikitin, V. Grinenko, R. Sarkar, J.-C. Orain, M. V. Salis, J. Henke, Y. K. Huang, H.-H. Klauss, A. Amato, A. de Visser

Geometrical vortex lattice pinning and melting in YBaCuO submicron bridges

G. P. Papari, A. Glatz, F. Carillo, D. Stornaiuolo, D. Massarotti, V. Rouco, L. Longobardi, F. Beltram, V. M. Vinokur, F. Tafuri

Rotational symmetry breaking in the topological superconductor SrxBi2Se3 probed by upper-critical field experiments

Y. Pan, A. M. Nikitin, G. K. Araizi, Y. K. Huang, Y. Matsushita, T. Naka, A. de Visser

Tuning magnetotransport in a compensated semimetal at the atomic scale

Lin Wang, Ignacio Gutiérrez-Lezama, Céline Barreteau, Nicolas Ubrig, Enrico Giannini, Alberto F. Morpurgo

Kelvinox

Detection of relativistic fermions in Weyl semimetal TaAs by magnetostriction measurements

T. Cichorek, Ł. Bochenek, J. Juraszek, Yu. V. Sharlai, G. P. Mikitik

A new class of bilayer kagome lattice compounds with Dirac nodal lines and pressure-induced superconductivity

Mengzhu Shi, Fanghang Yu, Ye Yang, Fanbao Meng, Bin Lei, Yang Luo, Zhe Sun, Junfeng He, Rui Wang, Zhicheng Jiang, Zhengtai Liu, Dawei Shen, Tao Wu, Zhenyu Wang, Ziji Xiang, Jianjun Ying, Xianhui Chen

Observation of chiral solitons in LiCuVO4

Christoph P. Grams, Daniel Brüning, Severin Kopatz, Thomas Lorenz, Petra Becker, Ladislav Bohatý, Joachim Hemberger

Coherent spin qubit transport in silicon

J. Yoneda, W. Huang, M. Feng, C. H. Yang, K. W. Chan, T. Tanttu, W. Gilbert, R. C. C. Leon, F. E. Hudson, K. M. Itoh, A. Morello, S. D. Bartlett, A. Laucht, A. Saraiva, A. S. Dzurak

Uniaxial-strain control of nematic superconductivity in SrxBi2Se3

Ivan Kostylev, Shingo Yonezawa, Zhiwei Wang, Yoichi Ando, Yoshiteru Maeno

The critical current of disordered superconductors near 0 K

A. Doron, T. Levinson, F. Gorniaczyk, I. Tamir, D. Shahar

Operation of a silicon quantum processor unit cell above one kelvin

C. H. Yang, R. C. C. Leon, J. C. C. Hwang, A. Saraiva, T. Tanttu, W. Huang, J. Camirand Lemyre, K. W. Chan, K. Y. Tan, F. E. Hudson, K. M. Itoh, A. Morello, M. Pioro-Ladrière, A. Laucht, A. S. Dzurak

Evidence for polarized nanoregions from the domain dynamics in multiferroic LiCuVO4

Christoph P. Grams, Severin Kopatz, Daniel Brüning, Sebastian Biesenkamp, Petra Becker, Ladislav Bohatý, Thomas Lorenz, Joachim Hemberger

Propagation of superconducting coherence via chiral quantum-Hall edge channels

Geon-Hyoung Park, Minsoo Kim, Kenji Watanabe, Takashi Taniguchi, Hu-Jong Lee

Thermodynamic evidence for nematic superconductivity in CuxBi2Se3

Shingo Yonezawa, Kengo Tajiri, Suguru Nakata, Yuki Nagai, Zhiwei Wang, Kouji Segawa, Yoichi Ando, Yoshiteru Maeno

Direct observation of a magnetic-field-induced Wigner crystal

Yen-Chen Tsui, Minhao He, Yuwen Hu, Ethan Lake, Taige Wang, Kenji Watanabe, Takashi Taniguchi, Michael P. Zaletel, Ali Yazdani

Neutron imaging of an operational dilution refrigerator

C. R. Lawson, A. T. Jones, W. Kockelmann, S. J. Horney, O. Kirichek

Cooling low-dimensional electron systems into the microkelvin regime

Lev V. Levitin, Harriet van der Vliet, Terje Theisen, Stefanos Dimitriadis, Marijn Lucas, Antonio D. Corcoles, Ján Nyéki, Andrew J. Casey, Graham Creeth, Ian Farrer, David A. Ritchie, James T. Nicholls, John Saunders

Design and performance of an ultra-high vacuum scanning tunneling microscope operating at dilution refrigerator temperatures and high magnetic fields

S. Misra, B. B. Zhou, I. K. Drozdov, J. Seo, L. Urban, A. Gyenis, S. C. J. Kingsley, H. Jones, A. Yazdani

Oxford Paper

Integra

Hole doping in a negative charge transfer insulator

Ranjan Kumar Patel, Krishnendu Patra, Shashank Kumar Ojha, Siddharth Kumar, Sagar Sarkar, Akash Saha, Nandana Bhattacharya, John W. Freeland, Jong-Woo Kim, Philip J. Ryan, Priya Mahadevanm Srimanta Middey

Gate-tunable phase transitions in thin flakes of 1T-TaS2

Yijun Yu, Fangyuan Yang, Xiu Fang Lu, Ya Jun Yan, Yong-Heum Cho, Liguo Ma, Xiaohai Niu, Sejoong Kim, Young-Woo Son, Donglai Feng, Shiyan Li, Sang-Wook Cheong, Xian Hui Chen, Yuanbo Zhang

Black phosphorus field-effect transistors

Likai Li, Yijun Yu, Guo Jun Ye, Qingqin Ge, Xuedong Ou, Hua Wu, Donglai Feng, Xian Hui Chen, Yuanbo Zhang

Triton

The Design and Test of an STM-MFM Microscope Combo for Use in a Φ 52 mm 18/20 T Superconducting Magnet

Zongqiang Pang, Fei Wu, Yizhi Shi, Yubin Hou, Quanfeng Li, Qingyou Lu

A compact high field magnetic force microscope

Haibiao Zhou, Ze Wang, Yubin Hou, Qingyou Lu

Anomalous Fraunhofer Patterns in Gated Josephson Junctions Based on the Bulk-Insulating Topological Insulator BiSbTeSe2

Subhamoy Ghatak, Oliver Breunig, Fan Yang, Zhiwei Wang, Alexey A. Taskin, Yoichi Ando

Primary current-sensing noise thermometry in the millikelvin regime

A. Shibahara, O. Hahtela, J. Engert, H. van der Vliet, L. V. Levitin, A. Casey, C. P. Lusher, J. Saunders, D. Drung, Th. Schurig

A rapid sample-exchange mechanism for cryogen-free dilution refrigerators compatible with multiple high-frequency signal connections

G. Batey, S. Chappell, M.N. Cuthbert, M. Erfani, A.J. Matthews, G. Teleberg

Oxford Paper

Integration of superconducting magnets with cryogen-free dilution refrigerator systems

G. Batey, M. Buehler, M. Cuthbert, T. Foster, A.J. Matthews, G. Teleberg, A. Twin

Oxford Paper

A microkelvin cryogen-free experimental platform with integrated noise thermometry

G Batey, A Casey, M N Cuthbert, A J Matthews, J Saunders, A Shibahara

Oxford Paper

A new ultra-low-temperature cryogen-free experimental platform

G Batey, A J Matthews, M Patton

Oxford Paper

Propagating quantum microwaves: towards applications in communication and sensing

Mateo Casariego, Emmanuel Zambrini Cruzeiro, Stefano Gherardini, Tasio Gonzalez-Raya, Rui André, Gonçalo Frazão, Giacomo Catto, Mikko Möttönen, Debopam Datta, Klaara Viisanen

Oxford Paper

urrent Sensing Noise Thermometry: A Fast Practical Solution to Low Temperature Measurement

A. Casey, F. Arnold, L. V. Levitin, C. P. Lusher, J. Nyéki, J. Saunders, A. Shibahara, H. van der Vliet, B. Yager, D. Drung, Th. Schurig, G. Batey, M. N. Cuthbert, A. J. Matthews

Oxford Paper

High-Performance Cryogen-Free Platform for Microkelvin-Range Refrigeration

J. Nyéki, M. Lucas, P. Knappová, L.V. Levitin, A. Casey, J. Saunders, H. van der Vliet, A.J. Matthews

Oxford Paper

Graphene-based tunable SQUIDs

M. D. Thompson, M. Ben Shalom, A. K. Geim, A. J. Matthews, J. White, Z. Melhem, Yu. A. Pashkin, R. P. Haley, J. R. Prance

Oxford Paper

Developments

A compact cryogen-free platform operating at 1 K or 50 mK

A J Matthews, M Patton, T Marsh, H van der Vliet